“1% 捐赠承诺”的反馈 
“1% 捐赠承诺”的反馈 
2025-11-05 1%捐赠承诺2025上半年资金分配结果

本轮资金统计区间为2025年1月10日-2025年6月12日。后台数据显示,1%项目可拨付资金为494,589元。在此基础上,我们扣除了总资金额的大约10%,这样做一方面是覆盖项目管理成本,一方面是给下阶段的资金分配留有缓冲空间(例如,应对下一资助周期出现的超出预期的资金需求),同时确保我们的工作保持在一个健康运转的状态。此外,我们需要扣除额外一笔有固定捐赠方向的次捐约8万元。因此,本轮可分配给我们的推荐项目的净总资金量约为38万元左右。

【白内障社区眼健康社工项目】
1、成本效益:每3,335元帮助1位失明患者复明(此数值为理论值,实际执行情况不会与此完全一致,详情见我们的研究),平均使每位复明患者额外拥有18.5年的健康视力;每16元人民币可帮助1位眼病患者得到诊断和救治。
2、预期产出与影响力:救助困境白内障患者的成本是3,025元/人,本次分配的8万元将用于支持15位困境白内障患者的救助,理论上可帮助15位患者复明,挽回约277.5年的光明。

【“你我伙伴”性教育项目】
本次分配的9万元将用于录制供家长观看的性教育课程,预计可覆盖大约726分钟的课程时长*。
本课程录制完成后,预计将在一年内使200名家长了解儿童性教育的理念和关键主题内容。这是你我伙伴探索“如何让家长参与到儿童性教育”中的重要尝试,有较大可能对于提升性教育课程的效果产生积极影响,也对未来行业内其他机构的项目设计具有参考意义。

【“快乐成长”儿童社会情感学习项目】
本次分配的6万元将用于支持社会情感课程的「向上迭代」,即对小学六年级的课程进行优化调整。这能让目前的课程更适应六年级学生的身心状态,从而提升课程效果,更好地培养其社会情感学习能力。课程迭代完成后,通过课程试讲、试点,将使10名教师、400名学生受益。

【家庭暴力受害者“紧急救助金”项目】
本次分配的7.1万元中,4.1万元为限定性资金,具体用途包括:1、紧急生活援助(为家暴受害者及其未成年子女提供特殊时期所需基本食、穿、行等生活费用):以1,500元/月/人次计,支持10人次 ,合计1.5万元;2、源众十周年案例集撰写、发布:各类相关支出(如专家评审费、编辑人员劳务费等)合计2.6万元。
剩余3万元为非限定性资金,将用于支持人员工资以及办公费和办公室房租、水电等管理费用,以保证机构的正常运转。

【基于社区的农村妇女心理健康综合支持项目】
本次分配的7.54万元将用于:为10名困境妇女提供一对一心理辅导:500元/次/人,每人需接受4次辅导,加上咨询师差旅费1000元,合计2.1万元;为14名困境妇女提供个案服务:3,600元/人,合计5.04万元;项目财务管理费:4,000元。基于试点阶段的项目效果评估数据,本次拨付的资金预计将带来以下正面影响:至少70%服务对象(心理辅导+个案)实现焦虑/抑郁现状显著症状缓解(GAD-7/PHQ-9量表*得分降低至少20%)*注:GAD-7(广泛性焦虑障碍量表)和PHQ-9(患者健康问卷抑郁量表)是两种常用的用于评估心理健康的自评量表,分数越高,代表焦虑/抑郁程度越严重。至少60%的服务对象自我效能感*(家庭或社区决策的参与率、资源主动寻求率等)得到提升。

1%捐赠承诺2025上半年资金分配结果
2025年11月05日

本轮资金统计区间为2025年1月10日-2025年6月12日。后台数据显示,1%项目可拨付资金为494,589元。在此基础上,我们扣除了总资金额的大约10%,这样做一方面是覆盖项目管理成本,一方面是给下阶段的资金分配留有缓冲空间(例如,应对下一资助周期出现的超出预期的资金需求),同时确保我们的工作保持在一个健康运转的状态。此外,我们需要扣除额外一笔有固定捐赠方向的次捐约8万元。因此,本轮可分配给我们的推荐项目的净总资金量约为38万元左右。

【白内障社区眼健康社工项目】
1、成本效益:每3,335元帮助1位失明患者复明(此数值为理论值,实际执行情况不会与此完全一致,详情见我们的研究),平均使每位复明患者额外拥有18.5年的健康视力;每16元人民币可帮助1位眼病患者得到诊断和救治。
2、预期产出与影响力:救助困境白内障患者的成本是3,025元/人,本次分配的8万元将用于支持15位困境白内障患者的救助,理论上可帮助15位患者复明,挽回约277.5年的光明。

【“你我伙伴”性教育项目】
本次分配的9万元将用于录制供家长观看的性教育课程,预计可覆盖大约726分钟的课程时长*。
本课程录制完成后,预计将在一年内使200名家长了解儿童性教育的理念和关键主题内容。这是你我伙伴探索“如何让家长参与到儿童性教育”中的重要尝试,有较大可能对于提升性教育课程的效果产生积极影响,也对未来行业内其他机构的项目设计具有参考意义。

【“快乐成长”儿童社会情感学习项目】
本次分配的6万元将用于支持社会情感课程的「向上迭代」,即对小学六年级的课程进行优化调整。这能让目前的课程更适应六年级学生的身心状态,从而提升课程效果,更好地培养其社会情感学习能力。课程迭代完成后,通过课程试讲、试点,将使10名教师、400名学生受益。

【家庭暴力受害者“紧急救助金”项目】
本次分配的7.1万元中,4.1万元为限定性资金,具体用途包括:1、紧急生活援助(为家暴受害者及其未成年子女提供特殊时期所需基本食、穿、行等生活费用):以1,500元/月/人次计,支持10人次 ,合计1.5万元;2、源众十周年案例集撰写、发布:各类相关支出(如专家评审费、编辑人员劳务费等)合计2.6万元。
剩余3万元为非限定性资金,将用于支持人员工资以及办公费和办公室房租、水电等管理费用,以保证机构的正常运转。

【基于社区的农村妇女心理健康综合支持项目】
本次分配的7.54万元将用于:为10名困境妇女提供一对一心理辅导:500元/次/人,每人需接受4次辅导,加上咨询师差旅费1000元,合计2.1万元;为14名困境妇女提供个案服务:3,600元/人,合计5.04万元;项目财务管理费:4,000元。基于试点阶段的项目效果评估数据,本次拨付的资金预计将带来以下正面影响:至少70%服务对象(心理辅导+个案)实现焦虑/抑郁现状显著症状缓解(GAD-7/PHQ-9量表*得分降低至少20%)*注:GAD-7(广泛性焦虑障碍量表)和PHQ-9(患者健康问卷抑郁量表)是两种常用的用于评估心理健康的自评量表,分数越高,代表焦虑/抑郁程度越严重。至少60%的服务对象自我效能感*(家庭或社区决策的参与率、资源主动寻求率等)得到提升。

2025-08-09 2025年上半年资金分配

2025年7月,益盒与联劝确定了2025年上半年资金分配情况(含资金用途与预期产出/影响力):

【新奥光明 - 白内障社区眼健康社工项目】
本次分配的8万元将用于支持15位困境白内障患者的救助,理论上可帮助15位患者复明(救助困境白内障患者的成本是3,025元/人),挽回约277.5年的光明。

【“你我伙伴”性教育项目】
本次分配的9万元将用于录制供家长观看的性教育课程,预计可覆盖大约726分钟的课程时长*。
本课程录制完成后,预计将在一年内使200名家长了解儿童性教育的理念和关键主题内容。这是你我伙伴探索“如何让家长参与到儿童性教育”中的重要尝试,有较大可能对于提升性教育课程的效果产生积极影响,也对未来行业内其他机构的项目设计具有参考意义。
*注:此部分工作整体需要约17.3万元资金。由于总课时量一共1,200分钟,益盒拨付的9万元约可覆盖录制726分钟的课程所需费用。

【“快乐成长”儿童社会情感学习项目】
本次分配的6万元将用于支持社会情感课程的「向上迭代」,即对小学六年级的课程进行优化调整。这能让目前的课程更适应六年级学生的身心状态,从而提升课程效果,更好地培养其社会情感学习能力。课程迭代完成后,通过课程试讲、试点,将使10名教师、400名学生受益。

【源众 - 家庭暴力受害者“紧急救助金”项目】
本次分配的7.1万元中,4.1万元为限定性资金,具体用途包括:
1)紧急生活援助(为家暴受害者及其未成年子女提供特殊时期所需基本食、穿、行等生活费用):以1,500元/月/人次计,支持10人次 ,合计1.5万元;
2)源众十周年案例集撰写、发布:各类相关支出(如专家评审费、编辑人员劳务费等)合计2.6万元。
剩余3万元为非限定性资金,将用于支持人员工资以及办公费和办公室房租、水电等管理费用,以保证机构的正常运转。

【妇源汇 - 基于社区的农村妇女心理健康综合支持项目】
本次分配的7.54万元将用于:
1)为10名困境妇女提供一对一心理辅导:500元/次/人,每人需接受4次辅导,加上咨询师差旅费1000元,合计2.1万元;
2)为14名困境妇女提供个案服务:3,600元/人,合计5.04万元;
3)项目财务管理费:4,000元。
基于试点阶段的项目效果评估数据,本次拨付的资金预计将带来以下正面影响:
1)至少70%服务对象(心理辅导+个案)实现焦虑/抑郁现状显著症状缓解(GAD-7/PHQ-9量表*得分降低至少20%)
*注:GAD-7(广泛性焦虑障碍量表)和PHQ-9(患者健康问卷抑郁量表)是两种常用的用于评估心理健康的自评量表,分数越高,代表焦虑/抑郁程度越严重。
2)至少60%的服务对象自我效能感*(家庭或社区决策的参与率、资源主动寻求率等)得到提升
*注:自我效能感是指个体对自己能够通过制定计划并采取行动以达成特定目标的能力的感知力。自我效能感高的个体在应对不同的环境和挑战时具有相对较高和较为良性的总体性的自我信念和主导意识。

有关本次资金分配的决策依据、推荐项目上半年的进展(含上一轮分配资金的使用情况)我们将在近期通过公众号、捐赠人微信群、项目专属小程序、捐赠人月报提供更详细反馈。

2025年上半年资金分配
2025年08月09日

2025年7月,益盒与联劝确定了2025年上半年资金分配情况(含资金用途与预期产出/影响力):

【新奥光明 - 白内障社区眼健康社工项目】
本次分配的8万元将用于支持15位困境白内障患者的救助,理论上可帮助15位患者复明(救助困境白内障患者的成本是3,025元/人),挽回约277.5年的光明。

【“你我伙伴”性教育项目】
本次分配的9万元将用于录制供家长观看的性教育课程,预计可覆盖大约726分钟的课程时长*。
本课程录制完成后,预计将在一年内使200名家长了解儿童性教育的理念和关键主题内容。这是你我伙伴探索“如何让家长参与到儿童性教育”中的重要尝试,有较大可能对于提升性教育课程的效果产生积极影响,也对未来行业内其他机构的项目设计具有参考意义。
*注:此部分工作整体需要约17.3万元资金。由于总课时量一共1,200分钟,益盒拨付的9万元约可覆盖录制726分钟的课程所需费用。

【“快乐成长”儿童社会情感学习项目】
本次分配的6万元将用于支持社会情感课程的「向上迭代」,即对小学六年级的课程进行优化调整。这能让目前的课程更适应六年级学生的身心状态,从而提升课程效果,更好地培养其社会情感学习能力。课程迭代完成后,通过课程试讲、试点,将使10名教师、400名学生受益。

【源众 - 家庭暴力受害者“紧急救助金”项目】
本次分配的7.1万元中,4.1万元为限定性资金,具体用途包括:
1)紧急生活援助(为家暴受害者及其未成年子女提供特殊时期所需基本食、穿、行等生活费用):以1,500元/月/人次计,支持10人次 ,合计1.5万元;
2)源众十周年案例集撰写、发布:各类相关支出(如专家评审费、编辑人员劳务费等)合计2.6万元。
剩余3万元为非限定性资金,将用于支持人员工资以及办公费和办公室房租、水电等管理费用,以保证机构的正常运转。

【妇源汇 - 基于社区的农村妇女心理健康综合支持项目】
本次分配的7.54万元将用于:
1)为10名困境妇女提供一对一心理辅导:500元/次/人,每人需接受4次辅导,加上咨询师差旅费1000元,合计2.1万元;
2)为14名困境妇女提供个案服务:3,600元/人,合计5.04万元;
3)项目财务管理费:4,000元。
基于试点阶段的项目效果评估数据,本次拨付的资金预计将带来以下正面影响:
1)至少70%服务对象(心理辅导+个案)实现焦虑/抑郁现状显著症状缓解(GAD-7/PHQ-9量表*得分降低至少20%)
*注:GAD-7(广泛性焦虑障碍量表)和PHQ-9(患者健康问卷抑郁量表)是两种常用的用于评估心理健康的自评量表,分数越高,代表焦虑/抑郁程度越严重。
2)至少60%的服务对象自我效能感*(家庭或社区决策的参与率、资源主动寻求率等)得到提升
*注:自我效能感是指个体对自己能够通过制定计划并采取行动以达成特定目标的能力的感知力。自我效能感高的个体在应对不同的环境和挑战时具有相对较高和较为良性的总体性的自我信念和主导意识。

有关本次资金分配的决策依据、推荐项目上半年的进展(含上一轮分配资金的使用情况)我们将在近期通过公众号、捐赠人微信群、项目专属小程序、捐赠人月报提供更详细反馈。

2025-04-08 新一轮资助计划如期开展

1-3月如期对上期资助项目进行审批结项,下一期资助项目也进行招募和拨付款中

新一轮资助计划如期开展
2025年04月08日

1-3月如期对上期资助项目进行审批结项,下一期资助项目也进行招募和拨付款中

2025-02-05 2024下半年资金分配情况

1. 当前资金状况
本轮的资金统计时间区间为2024年6月19日-2025年1月9日,益盒基金累计的可拨付资金为520377.82元,其中月捐219353.28元,次捐301024.54元。扣除管理费用之后,我们决定再保留剩余资金的10%,这样做主要是为了给下阶段的资金分配留有缓冲空间(例如,应对下一周期出现的超出预期的资金需求),同时确保益盒基金保持在一个健康运转的状态。
经核算,本轮资金分配中益盒基金约有44万元可供分配。此外,有两位个人捐赠人额外为益盒提供了9万元资金。综合上述情况,本轮资金分配的可分配资金总额约为53万元。
注:目前益盒基金的可分配资金来自两类捐赠者:“月捐人”(即每月捐出固定额度的1%捐赠者)和“次捐人”(即以不固定频率,将不固定数额捐款投入益盒基金的各类捐赠者)
捐赠人议题偏好
我们将所有现有捐赠者的整体议题偏好作为了一个做决策时必须考虑的因素。在本轮资金分配中,我们计算出三大议题的资金分配比例为健康 33.96%;教育 34.71%;女性 31.34%。

2. 本轮资金分配情况与预计产出

“心动万家”先天性心脏病筛查与救治项目
- 成本效益:每38,337元避免1个孩子的死亡(该数值为理论值,与项目实际执行情况稍有差距);每881元挽回患者1年健康寿命。避免1个孩子过早死于先天性心脏病,大约避免约43.47个伤残调整生命年 (DALY)。
- 预期产出与影响力:2025年的项目规划里,资助患儿从筛查到完成手术的成本平均为3万元/人(包含简单及复杂先心病),本次分配的9万元预计将至少用于救助3名先心病患儿。佑心基金会资助的手术成功率为100%,意味着至少3名患儿将“确定”不会因先天性心脏病而过早死亡,相当于避免约130.41个DALYs。

白内障社区眼健康社工项目
- 成本效益:每3,335元帮助1位失明患者复明(该数值为理论值,与项目实际执行情况稍有差距),平均使每位复明患者额外拥有18.5年的健康视力;每16元人民币可帮助1位眼病患者得到诊断和救治。
- 预期产出与影响力:救助困境白内障患者的成本是3,025元/人,本次分配的75,625元将用于支持25位困境白内障患者的救助。理论上可以帮助约25位患者复明,挽回约419.5年的光明。

“你我伙伴”性教育项目
本次分配的7.06万元将用于10名普通儿童性教育课程培训师的奖学金(即每人7060元)。根据你我伙伴往年的项目开展情况,1位培训师可以培训出40位讲师,而40位讲师平均可以为400名儿童提供性教育课程。因此,这笔资金将对于扩展机构的服务能力起到重要作用。

“快乐成长”儿童社会情感学习项目
本次分配的9万元将用于支持2025年社会情感课程的迭代,主要涉及将课程覆盖的年级扩展到小学三年级,并对小学六年级的课程进行优化调整。这对于提升课程效果,更好地培养孩子们的社会情感学习能力将带来积极的影响。

家庭暴力受害者“紧急救助金”项目
本次分配的7.9万元中,2.9万元将作为限定性资金,用于为家暴受害者提供紧急法律援助、紧急心理支持:
- 紧急法律援助(为受暴妇女儿童提供法律援助,包括申请告诫书、申请人身安全保护令、代理离婚诉讼、涉家暴刑事案件等):律师劳务费4000元/案/位,共5人次,2万元;
- 紧急心理支持(为遭受严重心理创伤的受暴妇女儿童提供一期心理咨询):每期含10次咨询;每次咨询预算300元,共3人次,9万元。
剩余5万元为非限定性资金,将用于支持人员工资以及办公费和办公室房租、水电等管理费用,以保证机构的正常运转。

基于社区的农村妇女心理健康综合支持项目
本次分配的9.515万元将支持3名高危个案干预服务、5名中危个案干预服务、14位困境女性临时紧急救助和4则妇女成长故事梳理:
- 高危个案干预服务:9050元/案/位,共3人次,2.715万元;
- 中危个案干预服务成本:5600元/案/位,共5人次,2.8万元;
- 备用临时紧急救助金:2000元/案/位,共14人次,2.8万元;
- 妇女成长故事梳理:3000元/则,共4则,1.2万元。

2024下半年资金分配情况
2025年02月05日

1. 当前资金状况
本轮的资金统计时间区间为2024年6月19日-2025年1月9日,益盒基金累计的可拨付资金为520377.82元,其中月捐219353.28元,次捐301024.54元。扣除管理费用之后,我们决定再保留剩余资金的10%,这样做主要是为了给下阶段的资金分配留有缓冲空间(例如,应对下一周期出现的超出预期的资金需求),同时确保益盒基金保持在一个健康运转的状态。
经核算,本轮资金分配中益盒基金约有44万元可供分配。此外,有两位个人捐赠人额外为益盒提供了9万元资金。综合上述情况,本轮资金分配的可分配资金总额约为53万元。
注:目前益盒基金的可分配资金来自两类捐赠者:“月捐人”(即每月捐出固定额度的1%捐赠者)和“次捐人”(即以不固定频率,将不固定数额捐款投入益盒基金的各类捐赠者)
捐赠人议题偏好
我们将所有现有捐赠者的整体议题偏好作为了一个做决策时必须考虑的因素。在本轮资金分配中,我们计算出三大议题的资金分配比例为健康 33.96%;教育 34.71%;女性 31.34%。

2. 本轮资金分配情况与预计产出

“心动万家”先天性心脏病筛查与救治项目
- 成本效益:每38,337元避免1个孩子的死亡(该数值为理论值,与项目实际执行情况稍有差距);每881元挽回患者1年健康寿命。避免1个孩子过早死于先天性心脏病,大约避免约43.47个伤残调整生命年 (DALY)。
- 预期产出与影响力:2025年的项目规划里,资助患儿从筛查到完成手术的成本平均为3万元/人(包含简单及复杂先心病),本次分配的9万元预计将至少用于救助3名先心病患儿。佑心基金会资助的手术成功率为100%,意味着至少3名患儿将“确定”不会因先天性心脏病而过早死亡,相当于避免约130.41个DALYs。

白内障社区眼健康社工项目
- 成本效益:每3,335元帮助1位失明患者复明(该数值为理论值,与项目实际执行情况稍有差距),平均使每位复明患者额外拥有18.5年的健康视力;每16元人民币可帮助1位眼病患者得到诊断和救治。
- 预期产出与影响力:救助困境白内障患者的成本是3,025元/人,本次分配的75,625元将用于支持25位困境白内障患者的救助。理论上可以帮助约25位患者复明,挽回约419.5年的光明。

“你我伙伴”性教育项目
本次分配的7.06万元将用于10名普通儿童性教育课程培训师的奖学金(即每人7060元)。根据你我伙伴往年的项目开展情况,1位培训师可以培训出40位讲师,而40位讲师平均可以为400名儿童提供性教育课程。因此,这笔资金将对于扩展机构的服务能力起到重要作用。

“快乐成长”儿童社会情感学习项目
本次分配的9万元将用于支持2025年社会情感课程的迭代,主要涉及将课程覆盖的年级扩展到小学三年级,并对小学六年级的课程进行优化调整。这对于提升课程效果,更好地培养孩子们的社会情感学习能力将带来积极的影响。

家庭暴力受害者“紧急救助金”项目
本次分配的7.9万元中,2.9万元将作为限定性资金,用于为家暴受害者提供紧急法律援助、紧急心理支持:
- 紧急法律援助(为受暴妇女儿童提供法律援助,包括申请告诫书、申请人身安全保护令、代理离婚诉讼、涉家暴刑事案件等):律师劳务费4000元/案/位,共5人次,2万元;
- 紧急心理支持(为遭受严重心理创伤的受暴妇女儿童提供一期心理咨询):每期含10次咨询;每次咨询预算300元,共3人次,9万元。
剩余5万元为非限定性资金,将用于支持人员工资以及办公费和办公室房租、水电等管理费用,以保证机构的正常运转。

基于社区的农村妇女心理健康综合支持项目
本次分配的9.515万元将支持3名高危个案干预服务、5名中危个案干预服务、14位困境女性临时紧急救助和4则妇女成长故事梳理:
- 高危个案干预服务:9050元/案/位,共3人次,2.715万元;
- 中危个案干预服务成本:5600元/案/位,共5人次,2.8万元;
- 备用临时紧急救助金:2000元/案/位,共14人次,2.8万元;
- 妇女成长故事梳理:3000元/则,共4则,1.2万元。

2024-10-10 益盒基金 - 2024年第三季度项目反馈

2024年7月-9月,益盒基金支持的六个项目每个月的详细活动进展见:

7月:https://charitybox.zhubai.love/posts/2435469550046617600
8月:https://charitybox.zhubai.love/posts/2448115059361153024
9月:https://charitybox.zhubai.love/posts/2463026569892757504

2024年7月-9月,益盒基金上半年打款支持的四个项目的进展情况包括:

一、心动万家

按照原计划,2024年7月,益盒基金成功资助了10 名先心病患儿及10名陪同家属的交通费用,确保他们能够及时到达医院接受手术治疗(手术费用已由其他撬动的资金覆盖,患者零自费)。确保了患儿能够顺利就医,不因出行问题而耽误治疗时机。

10位患儿手术全部成功,截至2024年10月,已出院返乡。具体的行程资助证明见图片。10名患儿将“确定”不会因先天性心脏病而过早死亡,这相当于避免约434.7个伤残调整生命年。

二、你我伙伴

在2024年第三季度,机构已完成性教育讲师初级培训线上课程的录制。课程共有35个小节,时长约500分钟。课程的上线大大加强了你我伙伴对合作师资培训的效率,预计第四季度将有约500名讲师使用这套课程,通过他们入校授课,预计最终可服务8万名儿童和青少年。


三、无暴力的未来

在2024年第三季度,益盒基金资助、跟进了6个个案,提供生活救助、法律援助、心理咨询支持。部分个案包括:

个案一:逃离家暴丈夫但面临严重经济压力的M女士

源众收到M女士的求助。因不堪忍受丈夫的家暴,她带着三个孩子搬到异地租房生活。为了完全远离原暴力环境,她并未向丈夫索要抚养费,只能靠销售当地农产品勉强维持三个孩子的生活。然而,由于日常还要照顾孩子,农产品销售情况不佳,M女士的经济状况十分紧张,甚至无力支付房租,面临无处可住的困境。源众对M女士提供的相关证据材料进行了评估,并为她和她的三个孩子提供了紧急生活救助金,共计6000元(4人次),帮助她渡过眼前的难关。

个案二:长期家暴且患病无法工作的D女士

D女士通过“家暴求助小程序”找到源众,自述被丈夫长期家暴,最严重的一次导致D女士骨折入院手术。D女士本人因长期患病,无法工作,目前无收入来源,还需要独自抚养孩子,捉襟见肘。源众对D女士提供的相关证据材料进行了评估,为D女士和孩子提供了紧急生活救助金。

个案三:外出打工遭性侵,自杀倾向严重的C女士

C女士通过法律援助律所转介,找到源众寻求帮助。C女士在未满18岁时,因家庭贫困外出打工赚钱,遭到其所在打工店店主性侵。这段遭遇已严重影响了C女士的身心健康,她经常整夜失眠亦或是半夜惊醒,性格也变得愈发孤僻、沉默,甚至时常伴有有幻觉,自杀倾向严重。收到C女士的求助后,源众团队对相关证据材料进行了评估,紧急为其提供了心理支持服务。

四、快乐成长

受益盒基金资助,快乐成长第四期活动在第三季度持续进行中。第四期活动学生所需的工具包(内含学生手册、相关玩具与教具,比如贴纸、奖状、书签、定制的工具等)已采买完毕,项目RCT成果也更加明确:

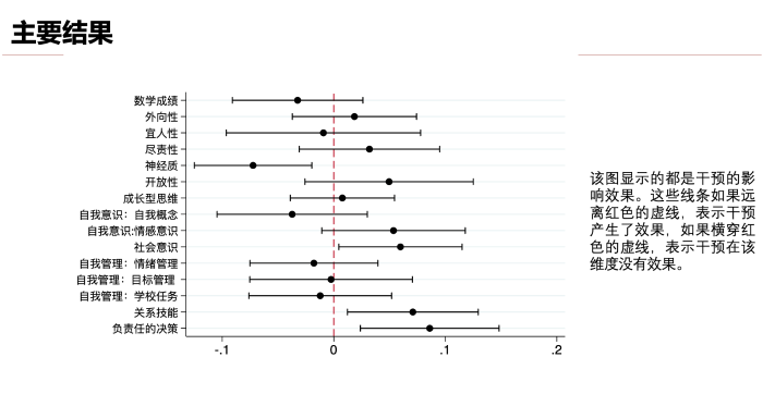
与对照组学生相比,“快乐成长”的社会情感学习(Social Emotional Learning, SEL)干预使学生的社会情感能力显著提升了0.08到0.13个标准差。具体为,学生的自我认知(学生知道自己的优势)、社会意识(了解被人是否需要帮助、向别人学习、出现问题如何寻求帮助)、自我管理(情绪)、人际关系(与同学、老师的相处)都有显著的改善。另外,与对照组相比,SEL干预使学生的神经质特征(焦虑、抑郁和冲动等)显著降低了0.10个标准差,改善了学生的焦虑情绪。

此外,2024年9月,在益盒基金的支持下,项目组开展了第四学期的“快乐成长”教师培训。在培训会上,项目组对社会情感的基本知识、“快乐成长”项目与规则进行了介绍。随后,组织教师对快乐成长活动开展过程中存在的问题(如随着年级的升高,学生面临的社会情感问题、课程时长、活动形式等)进行了深入讨论。通过双方交流和互动,项目组更加了解授课教师在活动开展过程中的困难与建议,并尽可能与老师协商解决。

益盒基金 - 2024年第三季度项目反馈
2024年10月10日

2024年7月-9月,益盒基金支持的六个项目每个月的详细活动进展见:

7月:https://charitybox.zhubai.love/posts/2435469550046617600
8月:https://charitybox.zhubai.love/posts/2448115059361153024
9月:https://charitybox.zhubai.love/posts/2463026569892757504

2024年7月-9月,益盒基金上半年打款支持的四个项目的进展情况包括:

一、心动万家

按照原计划,2024年7月,益盒基金成功资助了10 名先心病患儿及10名陪同家属的交通费用,确保他们能够及时到达医院接受手术治疗(手术费用已由其他撬动的资金覆盖,患者零自费)。确保了患儿能够顺利就医,不因出行问题而耽误治疗时机。

10位患儿手术全部成功,截至2024年10月,已出院返乡。具体的行程资助证明见图片。10名患儿将“确定”不会因先天性心脏病而过早死亡,这相当于避免约434.7个伤残调整生命年。

二、你我伙伴

在2024年第三季度,机构已完成性教育讲师初级培训线上课程的录制。课程共有35个小节,时长约500分钟。课程的上线大大加强了你我伙伴对合作师资培训的效率,预计第四季度将有约500名讲师使用这套课程,通过他们入校授课,预计最终可服务8万名儿童和青少年。


三、无暴力的未来

在2024年第三季度,益盒基金资助、跟进了6个个案,提供生活救助、法律援助、心理咨询支持。部分个案包括:

个案一:逃离家暴丈夫但面临严重经济压力的M女士

源众收到M女士的求助。因不堪忍受丈夫的家暴,她带着三个孩子搬到异地租房生活。为了完全远离原暴力环境,她并未向丈夫索要抚养费,只能靠销售当地农产品勉强维持三个孩子的生活。然而,由于日常还要照顾孩子,农产品销售情况不佳,M女士的经济状况十分紧张,甚至无力支付房租,面临无处可住的困境。源众对M女士提供的相关证据材料进行了评估,并为她和她的三个孩子提供了紧急生活救助金,共计6000元(4人次),帮助她渡过眼前的难关。

个案二:长期家暴且患病无法工作的D女士

D女士通过“家暴求助小程序”找到源众,自述被丈夫长期家暴,最严重的一次导致D女士骨折入院手术。D女士本人因长期患病,无法工作,目前无收入来源,还需要独自抚养孩子,捉襟见肘。源众对D女士提供的相关证据材料进行了评估,为D女士和孩子提供了紧急生活救助金。

个案三:外出打工遭性侵,自杀倾向严重的C女士

C女士通过法律援助律所转介,找到源众寻求帮助。C女士在未满18岁时,因家庭贫困外出打工赚钱,遭到其所在打工店店主性侵。这段遭遇已严重影响了C女士的身心健康,她经常整夜失眠亦或是半夜惊醒,性格也变得愈发孤僻、沉默,甚至时常伴有有幻觉,自杀倾向严重。收到C女士的求助后,源众团队对相关证据材料进行了评估,紧急为其提供了心理支持服务。

四、快乐成长

受益盒基金资助,快乐成长第四期活动在第三季度持续进行中。第四期活动学生所需的工具包(内含学生手册、相关玩具与教具,比如贴纸、奖状、书签、定制的工具等)已采买完毕,项目RCT成果也更加明确:

与对照组学生相比,“快乐成长”的社会情感学习(Social Emotional Learning, SEL)干预使学生的社会情感能力显著提升了0.08到0.13个标准差。具体为,学生的自我认知(学生知道自己的优势)、社会意识(了解被人是否需要帮助、向别人学习、出现问题如何寻求帮助)、自我管理(情绪)、人际关系(与同学、老师的相处)都有显著的改善。另外,与对照组相比,SEL干预使学生的神经质特征(焦虑、抑郁和冲动等)显著降低了0.10个标准差,改善了学生的焦虑情绪。

此外,2024年9月,在益盒基金的支持下,项目组开展了第四学期的“快乐成长”教师培训。在培训会上,项目组对社会情感的基本知识、“快乐成长”项目与规则进行了介绍。随后,组织教师对快乐成长活动开展过程中存在的问题(如随着年级的升高,学生面临的社会情感问题、课程时长、活动形式等)进行了深入讨论。通过双方交流和互动,项目组更加了解授课教师在活动开展过程中的困难与建议,并尽可能与老师协商解决。

更多加载中
没有更多了
更多活动反馈